作者:金茂律师事务所 律师/专利代理人 王峥
前言:软件专利撰写目前是专利代理行业的热点问题,互联网企业有大量涉及软件的技术需要得到专利保护,如何获得高质量的专利代理服务,撰写出高质量的核心专利,是企业最为关注的焦点问题。本文力图采用最简单的技术来分析高质量的软件专利,帮助企业对高质量软件专利有一定感性认识,提升知识产权保护意识。
一、软件专利概述
随着计算机、互联网、通讯、软件这类技术的高速发展,对于软件类技术提供专利保护的呼声日益增高。美国在上述技术领域具有绝对的优势地位,也是最早开始对软件技术提供专利保护的。而在欧盟,由于其软件技术相对于美国不具有优势地位,因此欧盟有很长一段时间并不对软件技术提供专利保护,然而随着科技发展趋势,欧盟在软件技术是否具有专利性的问题上,其态度也发生了根本变化。对软件技术提供专利保护在世界范围内是大势所趋。
我国对软件技术提供专利保护的起步较晚,最开始时一般要求软硬件结合方可申请软件专利,纯粹的软件设计思想并不能得到专利保护。然而近些年,随着互联网企业的快速发展,我国也开始对软件技术提供专利保护。中国国家知识产权局发布的《专利审查指南》的第二部分第九章,也对涉及计算机程序的发明专利进行重点论述。由于软件专利的特殊属性,也使软件专利基本上成为了专利撰写要求最为严格的专利类型。在我国,许多软件技术没有获得专利授权,并不是因为技术本身不够先进,主要是由于撰写质量差,导致了专利驳回。
二、涉及计算机程序的发明专利
根据《专利法》第二条,我国的专利分为发明、实用新型和外观设计三种类型:
发明,是指对产品、方法或者其改进所提出的新的技术方案。
实用新型,是指对产品的形状、构造或者其结合所提出的适用于实用的新的技术方案。
外观设计,是指对产品的形状、图案或者其结合以及色彩与形状、图案的结合所做出的富有美感并适于工业应用的新设计。
其中,实用新型只保护经过产业方法制造的,有确定形状、构造且占据一定空间的实体,因此软件技术不能申请实用新型专利。虽然有些软件技术也涉及功能模块结构,但是这种功能模块结构属于逻辑结构,并不是能够占据一定空间的实体结构,因此,不属于实用新型的保护客体。
软件技术通常以涉及计算机程序的发明这种形式进行保护。根据《专利审查指南》的规定,涉及计算机程序的发明是指“为解决发明提出的问题,全部或者部分以计算机程序处理流程为基础,通过计算机执行按上述流程编制的计算机程序,对计算机外部对象或者内部对象进行控制或处理的解决方案。”
三、软件专利实例
技术人员开发了一种手机屏幕图标显示技术,将现有图标的阵列排布形式改为三角形排布形式。

图1
如图1所示,左边的手机屏幕的图标呈阵列排布,通过技术人员的图标排布显示技术,可以将图标排布为三角形形式。即通过该项图标三角形排布显示技术,可以实现将图1左边的手机屏幕中图标的常规排布形式,转换为图1右边的手机屏幕中的三角形排布形式。
为了实现这种三角形排布形式的转换,最为重要的是图标坐标的计算,也就是说本专利申请为涉及算法的软件专利。

图2
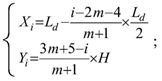
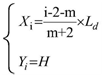
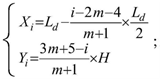
如图2所示,三角形排布时的三角形参照模板被分为:底边、第一斜边和第二斜边三个部分。同时给出三个部分坐标(Xi,Yi)的计算公式如下:
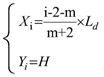
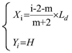
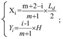
底边坐标(Xi,Yi)计算公式:

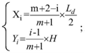
第一斜边坐标(Xi,Yi)计算公式:

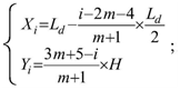
第二斜边坐标(Xi,Yi)计算公式:

三角形中心点坐标(Xi,Yi)计算公式:

在计算机程序利用上述公式自动计算得到坐标后,利用现有的常规技术根据坐标排布图标,即可实现图1中的图标三角形排布显示模式。以上就是该技术的最为核心的内容,并不复杂。
然而,根据《专利法》第二十五条,“智力活动的规则和方法”不授予专利权。审查实践中,单纯的算法属于智力活动规则和方法,不授予专利权,例如圆周率的计算方法、摩擦系数μ的计算方法。对于涉及算法的软件专利需格外小心,并非所有的算法都不能申请专利,必须将算法与具体应用场景相结合,才可申请专利。对于本专利申请,如果将该项技术定义为“三角坐标计算方法”,则很可能由于被划分到智力活动规则和方法,而不授予专利。因此必须将该坐标计算方法应用于图标排布显示的应用场景中,方可申请专利。虽然该项图标排布显示技术中最为核心的是坐标计算,当完成坐标计算后,直接按照坐标排布图标即可。但是为了符合《专利法》规定,必须将根据坐标排布图标的现有技术进行详细说明,以避免审查员直接认定该项专利申请为单纯算法,属于智力活动规则和方法,而驳回该专利。
因此,该专利的独立权利要求1撰写如下:“一种图标三角形排布显示的方法和装置,其包括:预先设置多个应用的图标,并提供各所述图标的图标读取接口;预先设置图标三角形排布模板,并提供所述图标三角形排布模板的实现接口,所述图标三角形排布模板设置有图标三角形排布坐标算法,使多个所述图标在显示区域内的坐标位置呈三角形排布;通过调用所述图标三角形排布模板的实现接口,执行所述图标三角形排布坐标算法并计算得出在所述显示区域内的各所述图标的坐标,实现所述图标三角形排布模板;通过调用图标读取接口,将所读取的图标显示在所述图标三角形排布坐标算法计算得出的各所述图标的坐标的位置处。”
该项权利要求1的逻辑架构为:利用图标三角形排布模板的程序接口计算各个图标的位置坐标;利用图标的程序接口,将位置坐标信息输入至图标显示程序,以实现根据计算得到的位置坐标显示图标。其中,图标三角形排布模板预设有图标三角形排布坐标算法,以计算符合三角形排布形式的坐标位置。可见,权利要求1不但写入了核心的图标三角形排布坐标算法,还写入了如何将图标三角形排布坐标算法应用于图标三角形排布显示这一应用场景中,从而避免了该项专利被划入单纯算法。
在权利要求1的基础上,权利要求2对于图标三角形排布坐标算法进行进一步的解释,所述图标三角形排布坐标算法包括:
建立坐标系,所述坐标系的横坐标轴与所述底边平行,所述坐标系的纵坐标轴与所述底边上的高平行,所述三角形位于所述坐标系的范围区域内且所述上顶点、左顶点、右顶点的坐标值为定值;获取待显示图标的数量N,N为正整数且N ≥ 3;根据所述底边、所述第一斜边以及所述第二斜边的长度、所述底边上的高的长度和所述待显示图标的数量,计算各个所述待显示图标的坐标;其中,所述待显示图标中的三个图标的坐标值分别等于所述三角形的上顶点、左顶点、右顶点的坐标值。
权利要求2将图标三角形排布坐标算法分为三个部分:底边坐标的计算方法;第一斜边坐标的计算方法;第二斜边坐标的计算方法。
参考后附的权利要求全文,权利要求4、5、6为一组,对权利要求2具体给出了底边、第一斜边、第二斜边和中心点的计算公式。不同之处在于;权利要求4的图标个数恰好为3的倍数,因此,可以在三角形每条边上均匀排布图标,每条边均具有m个图标;权利要求5除了在三角形每条边上均匀排布m个图标,还剩余一个图标,被放置于三角形中心位置处;权利要求6则将多余的两个图标,其中一个被放置于三角形底边并与底边的其他图标均匀布置,另一个被放置于三角形中心位置。
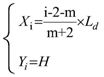
参考后附的权利要求全文,权利要求3、7为一组,将排布参照的三角形限定为等边三角形,同时在三角形正中心位置放置一个图标,同时权利要求7限定该放置于中心的图标是根据历史使用情况选用的最为常用的图标,即常用图标置中。
该项专利公布号为:CN103543912A,为北京奇虎科技有限公司的专利申请,已经于2016年08月31日获得发明授权。由于软件专利的一系列特殊要求,使得软件专利撰写难度极高。虽然该项发明专利的技术十分简单,但是为了满足软件专利的撰写要求,整个权利要求和说明书的阐述表达都非常复杂。
结语:
由于本文是针对非专业人士进行知识普及,而且篇幅所限,难以对每一条权利要求展开分析,也难以对说明书实例的撰写进行深入分析。读者可以在本文技术分析的基础上,读懂CN103543912A号专利,从而对高质量软件专利具有一定初步了解。有兴趣的读者可以给本人发送邮件进行深入探讨。
附:权利要求全文:
1. 一种图标三角形排布显示方法,其包括:
预先设置多个应用的图标,并提供各所述图标的图标读取接口;
预先设置图标三角形排布模板,并提供所述图标三角形排布模板的实现接口,所述图标三角形排布模板设置有图标三角形排布坐标算法,使多个所述图标在显示区域内的坐标位置呈三角形排布;
通过调用所述图标三角形排布模板的实现接口,执行所述图标三角形排布坐标算法并计算得出在所述显示区域内的各所述图标的坐标,实现所述图标三角形排布模板;
通过调用图标读取接口,将所读取的图标显示在所述图标三角形排布坐标算法计算得出的各所述图标的坐标的位置处。
2. 根据权利要求1 所述的方法,其中,所述三角形排布中的三角形包括上顶点、左顶点、右顶点、第一斜边、第二斜边、底边和所述底边上的高;所述图标三角形排布坐标算法包括:
建立坐标系,所述坐标系的横坐标轴与所述底边平行,所述坐标系的纵坐标轴与所述底边上的高平行,所述三角形位于所述坐标系的范围区域内且所述上顶点、左顶点、右顶点的坐标值为定值;
获取待显示图标的数量N,N 为正整数且N ≥ 3 ;
根据所述底边、所述第一斜边以及所述第二斜边的长度、所述底边上的高的长度和所述待显示图标的数量,计算各个所述待显示图标的坐标;其中,所述待显示图标中的三个图标的坐标值分别等于所述三角形的上顶点、左顶点、右顶点的坐标值。
3. 根据权利要求2 所述的方法,其中,所述三角形为等边三角形;
当所述待显示图标数量为四个时,一个所述待显示图标位于所述等边三角形的中心处;
当所述待显示图标数量为五个时,一个所述待显示图标位于所述等边三角形的中心处且一个所述待显示图标位于所述等边三角形的底边的中点处。
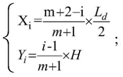
4. 根据权利要求2 所述的方法,其中,当所述待显示图标数量N=3+3m 时,m 为正整数且m ≥ 1,所述三角形的每条边上除了各顶点处各具有m 个所述待显示图标;
根据所述底边、所述第一斜边以及所述第二斜边的长度、所述底边上的高的长度和所述待显示图标的数量,计算各个所述待显示图标的坐标的步骤具体包括:
根据如下公式(1)计算在所述底边上除了各顶点处的所述待显示图标的坐标(Xi,Yi):

其中,i表示以逆时针方向从所述三角形的上顶点开始的第i个图标;Ld表示所述底边的边长,H 表示所述底边上的高的长度;
根据如下公式(2)计算在所述第一斜边上除了各顶点处的所述待显示图标的坐标(Xi,Yi):

其中,La 表示第一斜边的长度;
根据如下公式(3)计算在所述第二斜边上除了各顶点处的所述待显示图标的坐标(Xi,Yi):

其中,Lb表示第二斜边的长度。
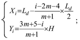
5. 根据权利要求2 所述的方法,其中,当所述待显示图标数量N=3+3m+1 时,m 为正整数且m ≥ 1,所述三角形为等边三角形,所述等边三角形的每条边上除了各顶点处各具有m 个所述待显示图标;
根据所述底边、所述第一斜边以及所述第二斜边的长度、所述底边上的高的长度和所述待显示图标的数量,计算各个所述待显示图标的坐标的步骤具体包括:
根据如下公式(1)计算在所述底边上除了各顶点处的所述待显示图标的坐标(Xi,Yi):

其中,i表示以逆时针方向从所述三角形的上顶点开始的第i个图标,其中最后一个所述待显示图标位于所述等边三角形的中心处;Ld表示所述底边的边长,H 表示所述底边上的高的长度;
根据如下公式(4)计算在所述第一斜边上除了各顶点处的所述待显示图标的坐标(Xi,Yi):

根据如下公式(5)计算在所述第二斜边上除了各顶点处的所述待显示图标的坐标(Xi,Yi):

根据如下公式(6)计算最后一个所述待显示图标的坐标(Xi,Yi):

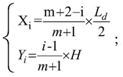
6. 根据权利要求2 所述的方法,其中,当所述待显示图标数量N=3+3m+2 时,m 为正整数且m ≥ 1,所述三角形为等边三角形,所述等边三角形的底边上除了各顶点处具有m+1 个所述待显示图标,所述等边三角形的第一斜边和第二斜边上除了各顶点处各具有m 个所述待显示图标;
根据所述底边、所述第一斜边以及所述第二斜边的长度、所述底边上的高的长度和所述待显示图标的数量,计算各个所述待显示图标的坐标的步骤具体包括:
根据如下公式(7)计算在所述底边上除了各顶点处的所述待显示图标的坐标(Xi,Yi):

其中,i表示以逆时针方向从所述三角形的上顶点开始的第i个图标,其中最后一个所述待显示图标位于所述等边三角形的中心处;Ld表示所述底边的边长,H 表示所述底边上的高的长度;
根据如下公式(4)计算在所述第一斜边上除了各顶点处的所述待显示图标的坐标(Xi,Yi):

根据如下公式(8)计算在所述第二斜边上除了各顶点处的所述待显示图标的坐标(Xi,Yi):

根据如下公式(6)计算最后一个所述待显示图标的坐标(Xi,Yi):

7. 根据权利要求3、5 或6 任一项所述的方法,其中,通过调用图标读取接口,将所读取的图标显示在所述图标三角形排布坐标算法计算得出的各所述图标的坐标的位置处的步骤包括:
根据历史使用情况选择一个所述应用的所述图标;
将选择的所述图标显示在所述等边三角形的中心处。
8. 一种图标三角形排布显示的装置,其包括:
图标接口模块,用于预先设置多个应用的图标,并提供各所述图标的图标读取接口;
模板接口模块,用于预先设置图标三角形排布模板,并提供所述图标三角形排布模板的实现接口,所述图标三角形排布模板设置有图标三角形排布坐标算法,使多个所述图标在显示区域内的坐标位置呈三角形排布;
模板实现模块,用于通过调用所述图标三角形排布模板的实现接口,执行所述图标三角形排布坐标算法并计算得出在所述显示区域内的各所述图标的坐标,实现所述图标三角形排布模板;
图标显示模块,用于通过调用图标读取接口,将所读取的图标显示在所述图标三角形排布坐标算法计算得出的各所述图标的坐标的位置处。
9. 根据权利要求8 所述的装置,其中,所述三角形排布中的三角形包括上顶点、左顶点、右顶点、第一斜边、第二斜边、底边和所述底边上的高;所述模板接口模块包括:
坐标建立模块,用于建立坐标系,所述坐标系的横坐标轴与所述底边平行,所述坐标系的纵坐标轴与所述底边上的高平行,所述三角形位于所述坐标系的范围区域内且所述上顶点、左顶点、右顶点的坐标值为定值;
图标数量获取模块,用于获取待显示图标的数量N,N 为正整数且N ≥ 3 ;
计算模块,用于根据所述底边、所述第一斜边以及所述第二斜边的长度、所述底边上的高的长度和所述待显示图标的数量,计算各个所述待显示图标的坐标;其中,所述待显示图标中的三个图标的坐标值分别等于所述三角形的上顶点、左顶点、右顶点的坐标值。
10. 根据权利要求9 所述的装置,其中,所述三角形为等边三角形;
所述计算模块还用于:
当所述待显示图标数量为四个时,使一个所述待显示图标位于所述等边三角形的中心处;
当所述待显示图标数量为五个时,使一个所述待显示图标位于所述等边三角形的中心处且一个所述待显示图标位于所述等边三角形的底边的中点处。